Упр.77 ГДЗ Колягин Ткачёва 7 класс (Алгебра)
Решение #1

Рассмотрим вариант решения задания из учебника Колягин, Ткачёва, Фёдорова 7 класс, Просвещение:
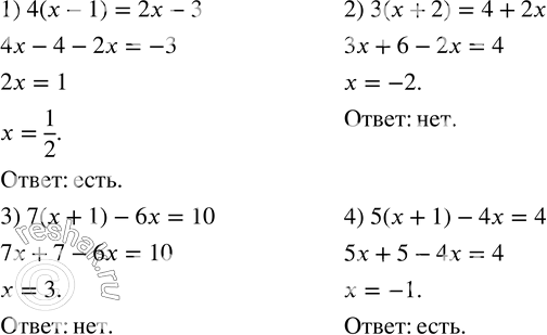
77. Есть ли среди чисел -1; 1/2; 0 корень уравнения:
1) 4(x-1)=2x-3;
2) 3(x+2)=4+2x;
3) 7(x+1)-6x=10;
4) 5(x+1)-4x=4.
*размещая тексты в комментариях ниже, вы автоматически соглашаетесь с пользовательским соглашением