Упр.416 ГДЗ Колягин Ткачёва 7 класс (Алгебра)
Решение #1

Рассмотрим вариант решения задания из учебника Колягин, Ткачёва, Фёдорова 7 класс, Просвещение:
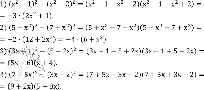
416. Разложить на множители:
1) (x^2-1)^2-(x^2+2)^2;
2) (5+x^2 )^2-(7+x^2 )^2;
3) (3x-1)^2-(5-2x)^2;
4) (7+5x)^2-(3x-2)^2.
*размещая тексты в комментариях ниже, вы автоматически соглашаетесь с пользовательским соглашением